飛機的估值方法
對一架飛機進行估值并預測其未來價值是個復雜的過程。接下來我們來全面闡述飛機估值的過程,并提出估值方法。使用該方法,我們可以準確計算投資回報,提升運營成本的管理效率,并有效地進行收益分析。
決定飛機價值的內部因素,例如機齡、尺寸、載客人數、燃油效率及技術狀態等,通常與飛機的規格和檔案直接相關。另外,飛機的價格還取決于一些外部因素,例如市場需求和彈性、燃油成本、環境管理等。這些外部因素尤其重要,因為它們表明了飛機在航空工業體系中的位置,反過來也對飛機價值起著重要影響。因此,民用飛機的理論價值與估值模型的各種假設高度相關。通過厘清飛機物理規格和運營特征之間的關系,例如飛機系統的燃油效率、收入、成本,我們可以發掘飛機定價模型的關鍵參數。
1、錯綜復雜和足智多謀
飛機估值是個很復雜的過程,但幾乎對所有航空公司、租賃公司和融資租賃機構都極為重要。對航空公司來說,其主要資產之一就是飛機本身。因此具備一套飛機估值的方法,同時能有效利用該方法來確保可接受的資產回報率就顯得相當重要。然而,飛機估值是一個復雜的過程。決定飛機價值的因素不僅包括物理規格,例如尺寸、機齡、座位數、燃料效率和飛機狀況,還包括維護狀況、維護記錄、運營費用和收入等因素。此外,外生因素,例如需求彈性、通貨膨脹率、利率、燃料成本、安全管理、環境管理等,也會影響飛機的價格。
這些分析表明飛機內在特性的不同將導致波音和空客飛機的價值差異。雖然還有很多其他因素,但載客人數、客艙布局、集裝箱化載貨空間、載貨量、耗油量、資金成本都會影響現金流量。例如,擁有集裝箱化載貨空間可以自動裝卸貨物,這原本是個耗時耗人力的過程,這樣就可以節省地勤工作時間和人力成本,從而降低運營成本。
外生因素包括能源危機、恐怖主義、金融危機、掠奪式定價等,將顯著影響飛機的需求,從而導致飛機估值的變化。例如,當運力存在缺口或燃料成本顯著下降時,老式寬體飛機的需求將上升。反過來,當出現新式飛機的運營成本隨著技術進步而降低、環境政策不利于老式飛機或燃料價格高的情況時,老式寬體飛機的價值將下降。正是因為飛機的價值很大程度上取決于其運營成本,所以當老式寬體飛機的盈虧平衡客座率變得太高,以致產出的收入無法覆蓋其運營成本時,這類飛機將退役。運營成本通常取決于燃料效率、航程、載客人數、維護開支和機場費用等。
通常情況下,運營成本越高,飛機價值越低。實踐層面,新式飛機更加省油,從而降低了運營成本,因為這類飛機價格更高。航空公司需要考慮的就是在一次性資金投入和飛機持續運營費用(包括折舊和燃料成本)之間的權衡。
近幾十年來,由于空氣動力學的改進和發動機推力的增強,飛機燃料效率得到大幅提升,從而使飛機的運營成本出現顯著降低。評估飛機的磨損一般基于飛行小時和飛行循環數,因為飛機磨損因不同的運營者而異,即使是相同型號的飛機,會被安排飛不同距離的路線,每小時降落次數也會不相同。宏觀經濟因素同樣非常重要,因為這些因素能預示航空工業的周期,從而對飛機價值產生重大影響。以上這些因素都讓飛機估值過程變得復雜且充滿變化。
學術界的研究人員對民用飛機估值的問題沒有進行過深入的研究。吉布森和莫雷爾對飛機財務評估的實際應用進行了探討,他們提出了凈現值法(通過關注折現率的選取,使投、融資之間的聯系更具體化),利用蒙特卡洛分析來預先量化風險,并且使用實物期權分析更好地理解飛機運營者的靈活性價值。他們建議采用一種更好的衡量不確定性的方法,就是使用價值適中的資金,既不是市場指標,也不是寬泛的、長期的地區基準。他們發現,航空公司會使用精巧的資產估值策略來評估他們對飛機風險投資的收益。一個關于風險調整回報的方法被大量使用,這種回報是基于現金的,而不是基于會計報表的回報報。
這種基于現金的方法能根據貨幣的時間價值來調整回報,從而投資人展示價值增長,向貸款人展示利息支付。這項研究對飛機金融評估,尤其是在估計股東權益的風險和成本方面有著重要意義。投資分析和項目融資方式之間有很多關聯,但總體來說雖然在飛機金融評估方面有大量精巧的技術被運用,但航空公司一般不會堅持使用市場中最先進的技術。他們宣稱,在眾多基于現金的方法中,使用凈現值法對飛機估值大致與內部收益率相同。這種方法產生于資金成本估算技術的進步。
不妨換一個視角來看資產估值模型,Clarke、Miller和Protz在2003年提出了一種基于期權分析方法,用于分析大飛機市場。他們提出如果要決定基礎設施的戰略價值,有必要去計算這類基礎設施所帶來的期權價值。這里說的方法在系統動力學框架下,綜合金融和實物期權理論并使用蒙特卡洛模擬來決定價值。這種方法克服了許多與標準的實物期權相關的弱點,例如標的資產的選擇和市場動力學的內涵。這種方法可廣泛地用于評估不確定條件下的一系列投資,例如飛機制造商為研發一種新式飛機模型或國家空域體系(NAS)為改進空中交通管制設施所引起的開支。
Vasigh和Erfani發現內在因素,例如飛機構造和機齡,以及外在因素,例如經濟情況和通脹率,都會影響飛機的理論價值。飛機理論價值受到的影響最主要來自運營成本和收入。他們認為收入的理論價值取決于客座率、每英里收入及其他因素。很大程度上來說,飛機的價值取決于飛機能產生的預期凈現金流,而未來凈現金流取決于影響收入和費用的因素以及對這些因素變化的預期。此外,飛機價值同樣受供需關系的影響,即使是在單一市場,相似飛機的交易價格也很大可能大不相同。
通常,對公司估值是利用股息折現模型來計算。即對以股息形式體現的預期未來凈現金流進行折現來估計公司的價值。Foerster和Sapp的結論是股息折現模型可以用來解釋大型的、成熟的、派息公司的股權價值,該模型可以延伸至飛機估值領域,一架飛機一段時間內產生的利潤可以被看做凈現金流,這些凈現金流可以被折現來估計這架飛機的理論價值。
2、目前的市場實踐
很多獨立的公司和來源渠道可以為很多機型,特別是民用飛機,提供評估和咨詢服務。
·阿維塔斯(Avitas)
·Morten Beyer和Agnew
·航升(Ascend)
·飛機價值參考(Aircraft Value Reference)
·飛機藍皮書價格文摘(Aircraft Bluebook Price Digest)
這些公司和來源為許多機型提供參考價格和飛機估值服務。主要是希望獲得飛機估值的第三方意見的飛機中介和金融機構采用了估值報告。報告內容包括大多數噴氣式飛機的數據(客運和貨運)。許多公司甚至為渦槳飛機提供參考價值。
還有一些報告為每種機型提供成本和性能分析。例如來自Avitas的《飛機運行時間內的運行成本和操作指南》是用來給航空公司的經理進行機隊和航線分析,以及在行業標準下監測資本預算決策的維護效率和性能。這個“指南”提供直接運營成本,包括飛機運營、維修儲備金、維修成本,并且提供飛機每天平均利用率等許多運行指標,比如起降次數、可用座英里(ASM)和每座英里的運營成本。
報告的精準性建立在完成飛機表單數據分析的技術水平,以及是否能夠運用核實的金融模型基礎之上。很多報告使用了制約飛機價值的、真實性的、特性的基礎假設。使用報告的估值是在沒有對飛機生命周期內的潛在盈利能力進行財務分析的基礎上,通過對飛機實地檢查、審核維修記錄和運營狀態實現的。
以下我們探討的的飛機估值模型建立在下列基礎上,例如飛機整體狀態、維修質量、距離下次大修的時間、燃料、作為容量、整體經濟情況,這樣能顯著改善對飛機內在價值的估值。
3、飛機和數據的選擇
這里解釋的“飛機和數據選擇”是一個全面的飛機估值技術,并且為飛機評價和估值提供了多維的模型。其將提供更加準確的測算投資回報的方法,提高管理運營成本的效率和有效的決策收益分析,這些將改善購買或者租用新飛機和舊飛機時的談判地位。
另外,當飛機退役或者被替代時,這種方法提供了大量的決策依據。在接下來的模型中,將選擇兩架由波音和空客生產的主流窄體機和寬體機,并且將運用改進的折現現金流模型。這個理論假設:投資價值能夠通過預期將產生的未來現金流來估計。折現現金流模型提供了對飛機最好的估值。然后,因為折現現金流模型考慮了很多因素,這些因素的微小變化能夠顯著影響任何飛機的理論價值。
這四架飛機相關的收入和支出的數據,收集于2005年第一季度到2010年第四季度。數據從A320-200、737-700、A330、767-400這四種機型中獲得。波音和空中客車只生產他們已經售出的飛機,即在生產前先收定金,隨后交付時收取剩下的資金。
應該指出的是,在這種方法下的方程,擁有很多條目被乘以的時候,可以被抵消。之所以能夠被抵消,是因為收入和支出的數據被分解得太詳盡。這種分解允許將特定的、獨立的數據指標分開,因此我們能夠計算出總的飛機理論價值對于特定收入和成本部分的敏感性。模型中主要影響因素被定義如下:客運和貨運收入、直接成本支出(比如人力、燃料)、維修費用、折舊、和攤銷、總的運營成本以及其他與運輸有關的費用。還有一些數據必須計算在其中,這些數據或者不能直接獲得(消費燃油的總加侖數),或者不能通過機型來分解(比如服務、銷售和總費用),或者不能取決于其他數據的數據(比如總的飛行時間)。
一、波音飛機
1965年波音收到的第一個訂單是B737-100(737項目)。在1991年波音開始了新一代737項目NG,現在的737-600-700-800-900系列即建立在這一代的基礎上。根據《飛機運輸報告2010年》一共有73家航空公司運營737-700S,一共有1060架運營飛機。運營737-700數量前三名的航空公司是西南航空370架,西捷航空69架,穿越航空52架。波音737-700于1993年開始運行,737-700ER于2006年1月31日開始運行。超過6943架737系列飛機已經交付,在2011年有5215架飛機還在運營。
波音767系列寬體機為世界上100多家航空公司提供服務。《飛機運輸報告2010年》顯示,總共有832架飛機還子運營。波音767系列共包括四種機型:767-200ER767-300ER767-300F767-400ER.在1989年,美國聯邦航空管理局批準767作為第一批有180分鐘雙發延程飛行的噴氣式科技。對于波音來說,相對于包括A330-200在內的其他機型,767飛機能夠大量減少耗油量和每加侖燃油更低的排放量。767-400ER的前兩名運營商為達美航空和大陸航空,其中達美航空21架、大陸航空16架。選來用于飛機估值的是于2000年開始運行的767-400ER。
二、空中客車飛機
空客的A320系列由1984年的A320-100飛機開始,新版本A320-200于1988年引進。《飛機運輸報告2010年》的信息顯示,共有191家航空公司運行著2547架空客A320-200機型。運營A320前三名航空公司是捷藍航空119架,中國東方航空107架,美國航空97架。將波音767-400寬體機和空中客車A330-200進行比較。A330-200是唯一產自空客、由美國航空公司運營的寬體機機型。A330-200于1993年開始運行,美國運輸情報顯示,65家航空公司運行著405架A330-200機型。世界上前三名運營A330-200的航空公司為阿聯酋航空27架,中國國際航空22架,巴西天馬航空20架。
4、收入的潛在來源
一、乘客收入
下面提到的估值技術的實踐運用。這個理論模型允許航空公司經營者將很多機型的收入和成本分解,然后估計在資產可利用的生命周期內預期的價值。運用飛機估值的模型很有必要,因為無論是大型航空公司還是小型航空公司都希望盈利。財務理論顯示,一項投資的價值由這項投資未來的預期能夠產生的現金流形成,而常用的方法是折現現金流模型,下面將討論這種方法。常用的公式要求計算預測的未來現金流的當前價值(比如紅利和收益)。為了運用折現現金流模型,必須首先需要預測未來現金流。為了對飛機進行估值,將估算客運和貨運產生的收入(現金流)。
估算現金流將會很復雜而且需要建立很多假設。為了計算每種機型帶來的收入,需要計算出總的收入客英里,并將其與收入噸英里(乘以貨運收入)相加。對于窄體機來說,收益低一些,因為貨物必須人工裝載,不像集裝箱能夠使用機械裝載。窄體機能夠通過使用裝卸設備將貨物通過集裝箱運到飛機上。因此成本會低一些,收益會高一些。窄體機是建立在對每種飛機模型收益的貨物運輸計算基礎上,得到窄體機平均的貨物收益。對寬體機來說,通過稱量航空公司所有的貨物重量,從而估算出每個單獨飛機的貨物收益。

下一個問題是如何最好地測算飛機的現金流入。為了對一架飛機進行估值,我們必須計算飛機生命周期內的現金流入。乘客收益包括從出發地道目的地乘客運輸收入。總體來說,對航空公司來說,占比最大的部分是乘客收入,大約占到了運輸總收入的90%。傳統飛機有多級客艙布局,通常配置頭等艙和經濟艙。頭等艙能夠創造更多的乘客收入,但是因為其更大的座椅排距,只能提供更少的乘客座位數量。
許多低成本航空公司只使用單級客艙配置,并且為乘客提供的服務收取最低的費用。這些額外的服務收入座位輔業收入,這一話題將在后面進行討論。傳統航空公司依賴于客運現金流和貨運收入,其輔業收入通常少于其總收入的10%。位了計算客運總收入,必須考慮收入客英里(RPM)、飛行輪當小時(BH)內日利用率和每個客英里的收入金(RRPM):

RPM=收入客英里
RRPM=單位客英里的收入金額
Β=飛機飛行時間
I=單個飛機
t=時間
二、貨運收入
和客運收入類似,對航空公司來說,貨運也是很大的收入來源。許多專注于客運運輸的寬體飛機在裝完乘客行李后,還能容納大量貨物。貨物收入的多少建立在飛機機型、飛機的腹艙容量、目的地、最大的起飛重量和其他因素之上。與完全成熟的貨運航空公司不同,客運航空公司傾向于建立貨運部門來處理上也貨物業務。隨著物流交付的優化在商業領域的廣泛應用,對飛機貨物運輸的需求也一直在增長。然而,旅客交付行李的額外收費不作為貨運收入,作為航空公司輔業收入。為了計算貨運收入,必須考慮收入噸英里(RTM)、飛行輪當時間和收入噸英里的收入(RRTM):

RTM=收入噸英里
RRTM=收入噸英里收入
Β=飛機飛行時間
I=單個飛機
t=時間
三、輔業收入
航空業正在經歷著一場輔業收入革命,這將使航空公司運營變得更加方便。歐洲、北美以及世界其他地方的很多航空公司正在使用額外的收入來源以提高客票收入。事實上,輔業收入是新航空公司業務模式的基礎,因為對航空公司未來的運營至關重要。
自經濟蕭條開始,世界范圍內的飛機票價下降的很厲害,這進一步顯示了輔業收入項目對于航空公司的重要性。此外,技術創新開始啟用手持的銷售設備,以實現現在客艙內直接交易,這使得輔業收入變得便利,從而改善管理報告。
輔業收入可以被分成很多部分:
·起飛前的項目比如改進座位選擇、增加交運行李收費、登機優先權以及頭頂行李空間收費等
·購買客艙內的食物、飲料、飛行中的娛樂節目、枕頭等
·在機場購買免稅的酒、煙、珠寶等
·銷售以下服務所得的傭金
A.酒店住宿
B.租車
C.在航空公司網站購買的保險
·虛擬商品(話劇門票、信用卡、甚至主題公園入場券)
輔業收入包括從行李、食品、枕頭、飲料和選座等獲得的額外收入。2008年,航空公司輔業收入增長了346%,達到了112.5億美元。美國以及全球很多航空公司想利用向乘客提供不一樣的服務而獲得輔業收入來改善財政狀況。過去的這些年,輔業收入成為了航空公司收入很重要的組成部分。例如像忠實航空(Allegiant)、易捷航空、Jet2航空、瑞安航空這些航空公司,其目標就是要提高非客票收入所占的比重。澳洲航空因為輔業收入成為了世界上排名前五的航空公司。最近,達美航空和大陸航空將其第一和第二件交運行李的收費提高到了25美元和35美元,另外,為網上辦理登機手續的乘客提供折扣。比較輔業收入在整個收入中的比例,美國低成本航空忠實航空為29.2%,另外瑞安航空、易捷航空和虎航也位于前五名,Jet2航空、愛爾蘭航空、阿拉斯加航空、Flybe航空和亞洲航空緊隨其后。
將輔業收入的因素考慮在內,總的收益(現金流入)變成了客運收入、貨運收入、和任何輔業收入的總和。
總收入(TR)=客運收入+貨運收入+輔業收入

其中:
TR=總收入
Β=飛機飛行時間
RPM=收入客英里
RTM=收入噸英里
RRPM=單位收入客英里的收入額
RRTM=單位收入噸英里的收入額
AR=輔業收入
I=單個飛機
T=時間
5、現金流出
我們不僅要考慮現金流入,還要考慮現金流出,這些費用包括了運營費用,還包括非現金費用(例如常旅客計劃、攤銷、折舊)。一般來說,與飛機運營相關的成本可劃分為:三大類,即空中運營成本、地面成本和可變成本。
來自經濟環境和高額固定成本的挑戰迫使航空公司要通過優化運營以降低成本。一架飛機直接運營費用包括燃料費用、機組費用、維護費用等,間接費用包括飛行設備資金成本、市場費用、銷售費用和一般管理費用等。有很多特征可以用來對航空公司成本結構進行分類。一般來說,航空公司的成本結構涉及非運營成本和運營成本,非運營成本可分為真實可變成本,運營成本類別包括機組、乘務組、燃料、起降費、空管費用、機身保養、維護、飛機所有權成本和機場收費等。
·直接運營成本:
A.燃油和滑油
B.維護費用
C.起降費
D.航路導航費
E.手續費
F.機組人員開支
G.交管相關的直接運營成本
H.旅客和貨運代理費
I.機場服務費
J.航空餐飲
K.與旅客相關的一般費用
·間接運營成本:
A.飛機固定成本
B.駕駛艙機組人員薪資
C.乘務組人員薪資
D.維護費用
E.手續費
F.雜項開支
G.銷售費用
·管理費用:
A.綜合管理費用
B.不動產成本及其他
一、總運營成本
飛機的總運營成本由兩個主要部分組成,即直接成本和間接成本,此外還包括非運營成本。以上是對成本結構的解釋,用公式表達如下:
總運營成本=直接成本+間接成本+非運營成本
二、直接運營成本
直接運營成本指的是那些很容易可以使用到單位產品或其他對象的成本。直接運營成本可以以美元每小時、美分每英里、美分每座位英里、美分每噸英里(貨運飛機)等形式表達。飛機燃油效率的提升主要歸功于飛機發動機和空氣動力學技術的進步,由于這些技術的進步以及新的管理技能所帶來的高客座率,航空公司可以做到更高的燃油經濟效率。飛機運營成本包括:
·機組費用
·燃油費用
·維護費用
·所有權成本
相同的機型在不同的運營條件下會有不同的燃油效率。例如,在增加了作為數后,波音737-800每可用座英里消耗的燃油數據可以得到改善。
可變直接運營成本
燃油成本=成本/加侖 X消耗燃油加侖數
燃油成本=θX γ

航班運營
·飛機燃油和滑油
·保險與未保險的損失
·租賃飛機租金

λ代表機組成本,包括可變和直接成本。數據僅僅對運營者以外的分析人員有效。在更完善的方案里,航空公司的分析可能會區分固定和可變成本。為簡化數據提取,在一下行為中,固定和可變成本被合在一起考慮:
·發動機直接成本
·機場和導航費用
·乘客服務成本

Μ表示固定及可變維護成本合在一起,如同機組成本,維護成本也可以被分成固定和可變兩類,包括:
·人工
·維護和修理
·基礎機構包括機身、尾翼、機翼
·發動機
·動力裝置
·材料
·固定直接運營成本:
·飛機的固定費用
·年度飛行、機組、乘務組成本
·工程管理費
一架飛機的固定運營成本是指無論飛機是否飛行都會發生的運營成本,包括飛機租金、航站樓租賃費和機組工資等。可變直接運營成本是指基于航空公司運營的活躍程度(飛行次數)而產生的成本、燃油、起降費、乘客服務和維護費用被視為可變運營成本,因為它們與一年之內飛行次數直接相關,另外還有一些機組人員成本,比如說過夜住宿,一般也被視為可變運營成本。
三、間接運營成本
間接運營成本與飛機實際飛行不直接相關,有時候很難識別。間接運營成本指的是不直接與航空公司核心功能相關的成本,例如人力培訓成本、銷售費用、管理成本等。對航空公司的運營者來說,這類成本的支出是必要的,但間接成本無法與某次特定的飛行聯系起來,因為所有的運營活動都受益于這類費用。正是因為這類成本不直接影響航空公司的運營,對致力于降低總運營成本的管理人員來說,間接成本一般是他們首先考慮削減的對象。
以上公式中,間接成本以i/ASM表示,從而得到單位值:
·行李及貨物處理
·綜合和行政成本
·乘客服務成本
·人員
·可變飛行
·間接客艙服務人員
·保險費用
·預定和銷售
·過站和地面費用
·票務、銷售和促銷相關成本
四、非運營成本
航空公司會產生與運營無關的成本。非運營成本是指產生于與空中運輸服務無關活動的費用。通常,該種成本與公司的財務結構有關,是飛機運營商的戰略性財務工具。利息費用是航空業中最普遍的非運營成本,是航空公司負債的結果。雖然為了運營活動籌資負債是必要的,利息費用仍然被視為非運營成本,因為該成本不與航空公司運營直接相關。其他航空公司的非運營成本包括飛機或其他資產出售損失、非航空活動費用等。航空公司有時也能從投資或非核心業務中獲得收入,例如酒店管理、汽車租賃和其他非航空運營等。
利息費用成本是航空業非運營成本的一部分,必須要被包含到模型中。航空公司間發生并購的最普遍原因就是為了節約非運營成本。
6、飛機的估值方法
一、加權平均資本成本
關于評估的另一個因素是折現率,通過折現率可以將一定時期內的凈現金流折現從而得到飛機今天的價值。這個比率反映當前風險調整后的市場回報率。航空公司的資金總成本反映了航空公司整體投資要求的回報率。資金成本取決于風險、資金的用途以及該筆投資的潛在回報,通常要求的回報率可以通過公司的加權平均資金成本(WACC)來估計,同時還反映了債權、股權和優先股的成本。WACC不僅反映當前市場回報率,還反映了該公司的風險特性,定義WACC的公式是:
WACC=WdKd(1-T)+WeKe
其中:
Wd= 債權融資比重
Kd=債權成本
Ke=股權成本
We=股權融資比重
T=企業所得稅稅率
運用WACC方法,可以有效確定預期凈現金流的必要回報,然而為了得到一個有效的凈現值(進而得到資產的一個正確的理論價值),基于WACC方法得到投資或者資產的折現率,所面臨的風險應該和公司已有投資的平均風險相類似。比起其他行業來說,航空公司可能更是如此,因為其基礎投資都是機隊。基于WACC因素,估算的總成本(或現金流出)可以定義為:

其中,TC=總成本
OHC=管理成本
ASM=可用座英里
β=飛機輪當小時利用率
θ=每加侖燃油的成本
γ=消耗燃油的加侖數
μ=維修成本(人工和材料)
ι=間接成本
W=飛機
t=年限
N=預期的飛機壽命
在上述公式中,以單位可用英里表明單位能量投入產生的飛機效用的形式,ASM/β可以表示飛機的能源使用效率。有許多這樣的因素依賴于飛機上有多少可用座位數(可用座英里)和飛機每天的利用率(輪檔小時)。
對于一個具體的航空公司來說,一年中的凈現金流(現金流入減去現金流出)是飛機產生的利潤。機隊里面某一架飛機在整個生命周期內的凈現金流代表了航空公司的利潤。
二、現金流折現模型
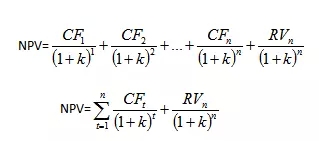
現金流折現(DCF)分析法能夠應用于很多物理資產,如飛機、機場、不動產以及其他很多資產。現金折現模型的原理是,一項物理資產和金融資產的當前價格表示了資產未來產生的所有現金流以一個合適的利率貼現的所有信息。
在這一部分,現金流折現模型應用于飛機價值評估,并且是基于不同的物理狀況和市場行情。接下來的幾個公式能運用于將未來的現金流折現,從而計算出投資的現值。未來的所有現金流入和現金流出之和就是凈現值。通過預測的未來現金流入和現金流出,這個計算方法可以分析飛機的價值。

其中,CF=現金流
K=折現率(WACC)
RV=殘值
現金流是凈的現金流入減去現金流出。在飛機的價值評估中,運營成本是現金流出,總收入是現金流入。然而,對于現在的購買方來說,未來收到的一筆凈現金流比現在同樣一筆的價值要低一些。因此,未來的凈現金流需要進行貼現,從而得出那筆現金流今天的價值。在計算一家航空公司運營的現金流時,由于折現率和增長率的不同,得到的飛機價值也就不同。所有的未來凈現金流貼現之和表示當前飛機的價值,以及購買方愿意支付的最高價。飛機價值理論評估模型由如下公式所表示:

V=飛機的總價值
從上述公式中,不同因素對于飛機價值的不同影響能被描述出來,燃油成本的增加或者消耗的燃油加侖數的增加,在等式中分別表示為θ和γ,會導致總成本的增加以及飛機價值的下降。一架飛機燃油消耗的增加所帶來的影響,說明了飛機制造商不斷生產更具燃油效率的飛機是為了增加飛機價值,使飛機對于運營商來說更具有吸引力。
飛機設計上的類似趨勢也可以由上述公式來解釋。通過更先進的技術,駕駛艙機組人員可以減少到最少,從而增加飛機的佳慧。民用飛機的早起運營商需要四名駕駛艙機組人員。如今,標準配置是兩名駕駛艙機組人員,即使是市場上最大型的飛機上。任何機組人員成本的減少,以λ表示,都會減少等式中總的成本,從而增加飛機的價值。
上一篇:售后回租利息不得抵扣:原來購入設備抵扣的進項要轉出嗎 ?
下一篇:必讀干貨:融資租賃企業的審計要點



